字号

(二)规模发展,多学科整合(2010——2012)

1. 不同学科根据各自学科特点,开展绘本教学研究

英语学科将语音、阅读、表达等元素融入课堂,借助课外阅读资料对学生进行拓展;数学学科借助现在出版的丰富的阶梯数学绘本资源,将数学探究与绘本巧妙结合,进行教学研究;美术课堂借助绘本对学生进行审美教育,培养学生的想象力和创造力,如《这样的尾巴可以做什么》、《小黑鱼》、《小凯的家不一样了》、《进城》、《小蓝和小黄》等等绘本,成为对学生进行美育教育的良好媒材。科学课结合教学内容,向学生推荐引导《启发DO科学》等系列书籍,激发学生探索科学的欲望。

2. 深入研究,形成绘本的教学模式

绘本的内涵丰富,是一个非常好的教育教学资源。我们利用绘本对学生进行观察、想象、表达、感悟等方面的训练。

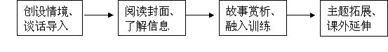
经过长期的教学实践,形成了我校的绘本教学模式,主要包括以下几个教学环节:

创设情境、谈话导入——相关话题切入,创设情境,激发学生阅读的兴趣

阅读封面、了解信息——引导学生阅读封面、蝴蝶页、介绍作家等,做好阅读准备

故事赏析、融入训练——师生共同赏析,结合绘本的特点,提取基本技能训练点,对学生进行观察、想象、表达、感悟等方面的训练

主题拓展、课外延伸——介绍相关主题或者同一作者的其他作品,不断向外延伸,丰富阅读

2013年,我校又深化了绘本教学研究,成立了绘本研究项目组,借助绘本这一优质资源,促进学生习作能力的专项研究。2014年1月开始,我们邀请了台湾悦读学堂的葛琦霞教授进行为期一个学期的驻校指导,现在老师每周都在开展教学研究。

(三)体系构建,形成课程(2012——2014)

1.校本必修课程,体会绘本创作的快乐

我们把绘本研究从课内延展到课外必修课上,教师进行1+X的教学研究,将绘本作品自觉的带入到每一节课中;选修课利用每周的社团活动,将志同道合、喜欢绘本的孩子汇集在一起,进行更深入的绘本探索、研究与开发。目前开设了《绘本阅读与创作》、教师和让孩子们共同赏析绘本,感受绘本的美好,并结合绘本的特点引导学生进行创作,几年来,孩子们创作了大量的绘本,孩子们不仅创作中文绘本,而且创作英文绘本,编写创意绘画,一人完成,目前学校已经编辑印刷了很多孩子的优秀绘本作品,每学期,学校都会对学生创作的优秀绘本进行展示。以语文绘本阅读与写作为基础,拓展到数学绘本阅读与写作,英语绘本分级阅读以及科学探索等活动,实现了北师大奥小的绘本特色课程。

2.校本选修课程, 展现绘本的魅力

经过几年的研究后,我们把绘本课程和课后一小时相结合,各学科提供丰富的绘本选单内容,学生可以自主选课,进行学习,特值得一提的是我们的《绘本与中文戏剧》、《绘本英文戏剧》选修课,在国内外专家的带领下,把孩子们绘本进行创作,聘请专业团体,把内容经过创编,改写成剧本,通过戏剧的外在表现形式让孩子们进行演绎。其中戏剧课程元素的融入,让学生通过表演感受到了绘本的无穷魅力,提高了学生的创新能力。

3.学科活动课程,演绎绘本的精彩

根据各学科教学的特点,各个学科确立了相关学科的文化活动,语文学科我们每个学期都要开展读书嘉年华、戏剧节等活动,在嘉年华活动上,将近1800名学生全员参与,每个学生自制绘本海报,相互交换或者买卖自己的绘本作品,真的是一场展示绘本的盛会。戏剧节上我们的孩子把绘本进行改变,以读者剧场或者角色情景剧的形式,演绎绘本;数学学科的探究活动、知识点竞赛、小博士竞赛等都以绘本的形式进行海报设计,把竞赛的内容以绘本的外在形式来演绎;音乐美术学科的每学期都要进行绘本艺术节、绘本画展。英语学科的圣诞节和万圣节节日文化系列活动,从海报宣传到活动的内容都与绘本紧密结合;科学学科的种植活动、实践活动等;体育学科的运动会等活动;都与绘本课程紧密结合,带有丰富的绘本元素,形成“绘本”课程的活化的表现方式。

四、课程实施效果

(一)初步形成了“五色花”绘本课程体系,凸显了课程建设特色

学校文化理念的引领下,各学科根据学科特点构建了绘本课程体系,课程建设按照三级四类进行设置,三级为:国家课程、地方课程、校本课程。四类为绘本1+X课程(补充国家课程)、绘本必修课程、绘本选修课程、,课程的构建,涵盖学校五项育人目标,彰显了学校书香的特色,在学校书香文化的引领下,紧紧把握素质教育方向,逐步推进课程改革,促进课程活力,提升课程品质,奠定学校多样化发展的坚实基础,实现学校发展的特色化与多样化。落实了学生的五项育人目标,为学生的全面发展奠定了基础,创设浓厚的学科文化氛围,拓宽了育人途径,丰富了学生的成长环境。

今年课程体系的构建将依托北师大专家各种资源平台、手拉手学校平台以及学校的五色花文化中心三个平台的建设,不断深化课程体系的构建。

(二)促进了学生的个性发展,逐步实现了三个转变

我们以绘本阅读为切入点的课程设置,大大提升了学生学习的主动性和自觉性,使学生养成了良好的阅读习惯,激发了学生的阅读兴趣,提升了审美情趣和道德情操,培养了学生的想象力和创新意识,增强了学习的自信心,在促进学生的全面发展和健康成长同时,正在逐步实现由培养能力指向转化为核心素养的指向;实现由关注学习转化为关注生命的质量和高度的转变;实现由关注学科能力转化为重建育人文化和课程文化的转变,成功的体验也使学生的人生境界得到升华。

学校连续两届(2012、2013)创新性成果奖中都有学生获得金奖,并均在颁奖典礼上进行汇报展示。

2014年12月10日在东方剧场的《戏剧花园》中文戏剧和英文戏剧的大型演出,展示了学校戏剧课程建设成果以及孩子们的综合素养,得到了北京市领导以及北师大合作办学部领导的好评,4月27日28日我们将承办从绘本到戏剧演绎的全国论坛会议,将会有更多的孩子演绎精彩。

上一页下一页
(责编:张安(实习生)、熊旭)

相关专题


我要留言

进入讨论区 论坛

注册/登录
发言请遵守新闻跟帖服务协议   

同步:分享到人民微博  

社区登录
用户名: 立即注册
密  码: 找回密码
  
查看全部留言

>

伟德国际1946bv官网第二届高校校长论坛
伟德国际1946bv官网第二届高校校长论坛

权威中国大学排行榜
权威中国大学排行榜

精彩热图|人民电视

精彩新闻|精彩博客

高中"国际班"遍地开花高中"国际班"遍地开花 留学生的那些作弊留学生的那些作弊

热播视频|图说中国

自由职业者的福音自由职业者的福音 万语千言不如回家过年万语千言不如回家过年

24小时排行 | 新闻频道留言热帖

论坛|访谈微博SNS