伟德国际1946bv官网>>教育>>滚动新闻

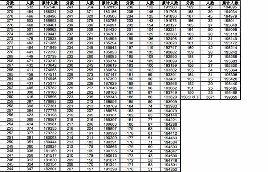
2014年高考安徽省文科一分一档表【3】

来源:安徽省教育招生考试院  2014年06月26日15:01

上一页
2014年高考安徽省文科一分一档表【3】
下一页

【1】【2】【3】

分享到:
(责编:李小琳、熊旭)

 高清推荐

  • 2014高考大片儿上演2014高考大片儿上演
  • 考试即将结束 家长望眼欲穿考试即将结束 家长望眼欲穿
  • 笑对高考,高考我不怕!笑对高考,高考我不怕!
  • 高考表情:来自爸妈的关爱高考表情:来自爸妈的关爱
  • 高考表情:好朋友,一起加油!高考表情:好朋友,一起加油!
  • 高考背后,他们默默付出高考背后,他们默默付出
  • 高考首日结束 考生明显变轻松高考首日结束 考生明显变轻松
  • 高考表情:考前一刻不放松高考表情:考前一刻不放松
  • 高考落榜的大明星高考落榜的大明星
  • 30位明星高考那些事30位明星高考那些事
  •  新闻排行榜

    1. 1应届毕业生就业初体验:交房租时…
    2. 2北京高中全面取消择校 中招时校…
    3. 3毕业生就业初体验:交房租时感觉…
    4. 4上一堂“活色生香”的国学课
    5. 5广东千份录取通知书寄送错误 校…
    6. 6大学老师,类型可以更多元
    7. 7转向应用技术型:本科怎样起步
    8. 8别让义务教育“国家标准”难落地
    9. 9所有的学校都能卓越
    10. 10教育就是爱+耐心+孩子能明白的…